工業建筑和維持室內舒適溫度所消耗的能量占到世界每年總能耗的30%以上,隔熱材料的使用可以提高建筑物的能量利用率和降低能耗。然而,傳統的有機隔熱材料普遍易燃,有機阻燃劑的使用則會對環境和人類健康造成危害;無機隔熱材料的熱導率普遍偏高。而一般的有機無機復合隔熱材料雖然阻燃性有所提高,但仍難耐受長時間的火焰侵蝕,因為單分散狀態的無機組分會隨著聚合物基體的燃燒而逐漸脫落,從而失去保護作用。
最近,中國科學技術大學俞書宏教授課題組以殼聚糖為三微軟模板,發展了一種酚醛樹脂(PFR)與SiO2共聚和納米尺度相分離的合成新策略,成功研制了具有雙網絡結構的PFR/SiO2復合氣凝膠材料。研究論文發表在Angew.Chem.Int.Ed.上,論文的第一作者是博士后于志龍。

圖1 雙網絡結構的PRF/SiO2復合氣凝膠的制備過程及結構示意圖
這種雙網絡結構的復合氣凝膠具有樹枝狀的微觀結構,纖維的尺寸在20nm以內,且兩種組分各自都成連續的網絡,實現了有機、無機組分在納米尺度上的均勻分散,兩組分間具有很強的界面相互作用。

圖2.雙網絡PFR/SiO2復合氣凝膠的微觀結構和組分分布圖。
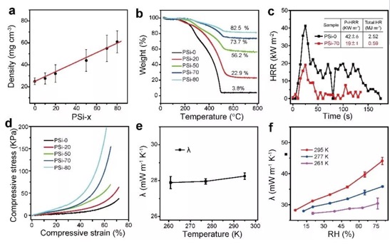
研究者通過調控硅源的添加量即可調控復合氣凝膠的密度、無機含量、力學強度等物理參數。這種復合氣凝膠可以承受60%的壓縮而不破裂,具有一定的機械強度和可加工性。該氣凝膠具有很好的隔熱效果,最低熱導率可達0.024W/m.K,優于傳統的發泡聚苯乙烯等材料,在相對低溫和低濕度的環境下,其熱導率維持在0.028W/m.K。

圖3. PFR/SiO2復合氣凝膠的物理性能表征。(a)密度,(b)無機含量,(c)熱釋放速率,(d)力學壓縮曲線,(e)熱導率隨溫度變的化,(f)熱導率隨濕度的變化。
這種獨特的雙網絡結構賦予該氣凝膠優異的防火阻燃性能,研究人員用丙烷丁烷噴燈火焰(1300 oC)和酒精燈火焰(500~600 oC)來檢測氣凝膠的耐火性,并用紅外熱成像儀記錄樣品背面的溫度變化。經過30分鐘的測試,噴燈火焰下樣品背面溫度穩定在300 ℃左右,酒精燈火焰下溫度穩定在150oC左右,而且,隨著有機組分的燃燒,SiO2網絡暴露出來并附著在氣凝膠表面而不會脫落,繼續發揮隔絕熱量的作用。這種材料可以避免在發生火災時建筑物承力結構的失效,為發生火災事故時人員撤離爭取了時間。

圖4. PFR/SiO2復合氣凝膠在噴燈火焰(左)和酒精燈火焰(右)下的隔熱阻燃效果。
