具有超彈性和抗疲勞性的輕質可壓縮材料,尤其是其中適應廣闊溫度范圍的材料,是航空航天、機械緩沖、能量阻尼和軟機器人等領域的理想材料。許多低密度的聚合物泡沫是高度可壓縮的,但它們在重復使用時往往易疲勞,并在聚合物玻璃化轉變和熔融溫度附近發生超彈性退化。盡管研究者已經開發出各種熱穩定的輕質金屬和陶瓷泡沫材料,但它們通常都只具有最小的可逆壓縮性,并且在循環變形下表現出疲勞。碳納米管和石墨烯因其具有固有的超彈性和熱機械穩定性,近年來被用作制備輕量超彈性材料的基本材料。雖然已有相關文獻報道了這類材料的優異性能,但這些工作所涉及的復雜設備和制備過程使其只能制備毫米級尺寸的材料。另一方面,自然中從幾億年進化而來的復雜層次結構生物材料因其優異的力學性能而備受關注,然而由于它們是純有機或有機/無機復合結構,通常只適合很窄的溫度范圍內工作。因此,將這些非熱穩定的結構生物材料轉化為具有固有層次結構的熱穩定石墨材料,有望創造出熱力學穩定的材料。
最近,中國科學技術大學俞書宏團隊和梁海偉課題組報道了一種通過熱解化學控制,將結構生物材料(BC,即細菌纖維素)熱轉化為石墨碳納米纖維氣凝膠(CNFAs)的方法。其制備的碳氣凝膠完美地繼承了細菌纖維素從宏觀到微觀的層次結構,具有顯著的熱機械性能。特別是在經歷2×106次壓縮循環后仍能保持超彈性而不發生塑性變形,在至少-100~500℃的大范圍溫度范圍內具有優異的不隨溫度變化的超彈性和抗疲勞性能。這種氣凝膠在熱機械穩定性和抗疲勞性能方面比高分子泡沫、金屬泡沫和陶瓷泡沫有獨特的優勢,實現了大規模合成,并具有生物材料的經濟優勢。相關成果以Temperature-Invariant Superelastic and Fatigue Resistant Carbon Nanofiber Aerogels 發表于《先進材料》(Adv. Mater.)期刊上。
該團隊發展了一種利用無機鹽對細菌纖維素(BC)進行熱解化學調控方法,實現了大規模合成、形態保留的碳化新工藝,研制的碳納米纖維氣凝膠較好地繼承了細菌纖維素從宏觀到微觀的層次結構,在較寬的溫度范圍內表現出明顯的不隨溫度改變的超彈性和抗疲勞性能。由于碳納米纖維氣凝膠具有優異的熱穩定機械性能并可實現宏量制備,在諸多領域將具有重要的應用前景,特別是適合極端條件下的機械緩沖、壓力傳感、能量阻尼及航天太陽能電池等。
相關研究受到國家自然科學基金委創新研究群體、國家自然科學基金重點項目、中科院前沿科學重點研究項目、中科院納米科學卓越創新中心、蘇州納米科技協同創新中心等的資助。

圖1、宏觀尺寸CNFAs的合成。(a)CNFAs制造工藝示意圖;(b)純BC和BC浸漬NH4H2PO4、(NH4)2SO4、NH4Cl、(NH4)3PO4、NaH2PO4或KH2PO4的TG曲線;(c)純BC和BC浸漬不同濃度NH4H2PO4后的TG曲線;(d)以純BC和BC為原料,在800°C下加入不同量的NH4H2PO4炭化制備CNFAs(NH4H2PO4的重量比分別為0.5、4.8、16、44和62 wt%);(e)1200 ℃下制備的CNFAs的密度和導電性;(f ~g)在800℃下制備的CNFAs照片,展示了其可以大規模制備。

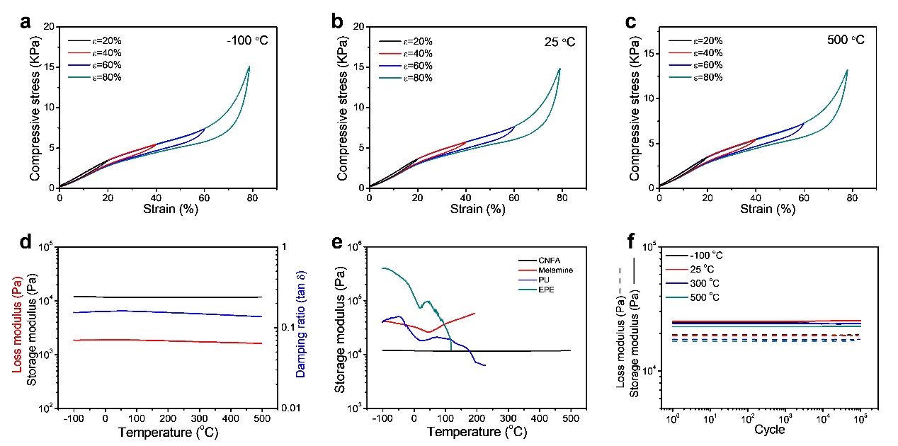
圖2、CNFAs在T = -100~500℃時N2中的熱力學穩定的力學性能。(a~c)形變為20%、40%、60%和80%時CNFAs的壓縮應力-應變曲線,溫度分別為:a)-100 °C、b)25 °C和c)500 °C;(d)CNFAs在T = -100-500℃時的粘彈性(儲存模量、損耗模量和阻尼比);(e)CNFA、三聚氰胺、PU和EPE泡沫的儲存模量隨溫度的變化;(f)不同溫度下CNFAs在1×105次循環中的儲存模量和損耗模量。
